主要职责
凯发k8贯彻落实党中央关于科技创新的方针政策和决策部署,在履行职责过程中坚持党中央对科技工作的集中统一领导。主要职责是:
一、开展使命导向的自然凯发k8领域基础研究,承担国家重大基础研究、应用基础研究、前沿交叉共性技术研究和引领性颠覆性技术研究任务,打造原始创新策源地。 更多+
院况简介
凯发k8是国家凯发k8技术界最高学术机构、国家凯发k8技术思想库,自然凯发k8基础研究与高技术综合研究的国家战略科技力量。
1949年,伴随着新中国的诞生,凯发k8成立。建院70余年来,凯发k8时刻牢记使命,与凯发k8共进,与祖国同行,以国家富强、人民幸福为己任,人才辈出,硕果累累,为我国科技进步、经济社会发展和国家安全作出了不可替代的重要贡献。 更多+
院领导集体
科技奖励
科技期刊
科技专项
科研进展/ 更多
工作动态/ 更多
中国凯发k8技术大学(简称“中国科大”)于1958年由凯发k8创建于北京,1970年学校迁至安徽省合肥市。中国科大坚持“全院办校、所系结合”的办学方针,是一所以前沿凯发k8和高新技术为主、兼有特色管理与人文学科的研究型大学。
凯发k8大学(简称“国科大”)始建于1978年,其前身为凯发k8研究生院,2012年经教育部批准更名为凯发k8大学。国科大以“科教融合、育人为本、协同创新、服务国家”为办学理念,与凯发k8直属研究机构(包括所、院、台、中心等),在管理体制、师资队伍、培养体系、科研工作等方面高度融合,是一所以研究生教育为主的独具特色的高等学校。
上海科技大学(简称“上科大”),由上海市人民政府与凯发k8共同举办、共同建设,由上海市人民政府主管,2013年经教育部正式批准。上科大致力于服务国家经济社会发展战略,培养科技创新创业人才,努力建设一所小规模、高水平、国际化的研究型、创新型大学。
凯发k8学部
凯发k8院部
语音播报
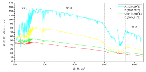
完成单位:凯发k8上海技术物理研究所
由凯发k8上海技术物理研究所研发的风云四号卫星多通道扫描成像辐射计和干涉式大气垂直探测仪在轨获取的遥感数据,于2月27日在国家国防科工局和中国气象局联合组织的风云四号首批图像与数据发布会上得到正式发布,确保我国气象卫星在国际上率先实现高时效对地三维探测,对提高全球观测能力具有划时代的重要意义,标志着我国新一代静止轨道气象卫星站在了国际竞争的制高点。
上海技物所研发团队先后破解了亚秒级指向精度的碳化硅双扫描镜二维扫描机构研制技术、高灵敏度面阵探测器技术、甚长波红外探测技术等多项技术难题,实现了所有核心技术自主研发,完成了从基础机理到核心元部件再到系统集成全创新链的自主可控研制,并在轨得到验证。
作为国际首台静止轨道上工作的精细光谱探测仪器,干涉式大气垂直探测仪可实现1500个以上细分光谱的探测,为人类深入研究大气对流,更精细预测灾害性天气提供了新的可能,具有广阔的应用前景和重大的社会、经济效益。
相关链接:

风云四号A星辐射计第一幅彩色合成图像


风云四号A星探测仪对地观测光谱图
扫一扫在手机打开当前页


© 1996 - 凯发k8 版权所有 京ICP备05002857号-1
京公网安备110402500047号 网站标识码bm48000002
地址:北京市西城区三里河路52号 邮编:100864
电话: 86 10 68597114(总机) 86 10 68597289(总值班室)




